【聆听音乐·欣赏曲谱·享受生活·www.quputu.com】
收藏本站
|
网站帮助
|
谱友留言
|
首页
首页
器乐曲谱
戏曲唱谱
民歌曲谱
乐谱软件
手机版
民歌
曲谱
民歌
通俗
美声
合唱
少儿
外国
器乐
曲谱
钢琴
电子琴
手风琴
萨克斯
长笛
铜管
吉他
古筝古琴
笛箫
葫芦丝
胡琴谱
琵琶谱
扬琴
口琴
提琴
其他乐谱
戏曲
唱谱
京剧
越剧
黄梅戏
花鼓戏谱
豫剧
评剧
二人转
其他唱谱
PDF
乐谱
声乐
钢琴
长笛
弦乐
吉他
其他
其他
手稿谱区
谱友记谱
谱友上传
歌曲和弦
曲谱搜索
所有类别
所有类别
民歌曲谱
通俗曲谱
美声曲谱
合唱曲谱
少儿曲谱
外国曲谱
戏曲曲谱
器乐乐谱
谱友园地
一周热搜:
茉莉花
友谊地久天长
大风车
滚滚长江东逝水
当前位置:
曲谱图网
器乐曲谱
笛箫
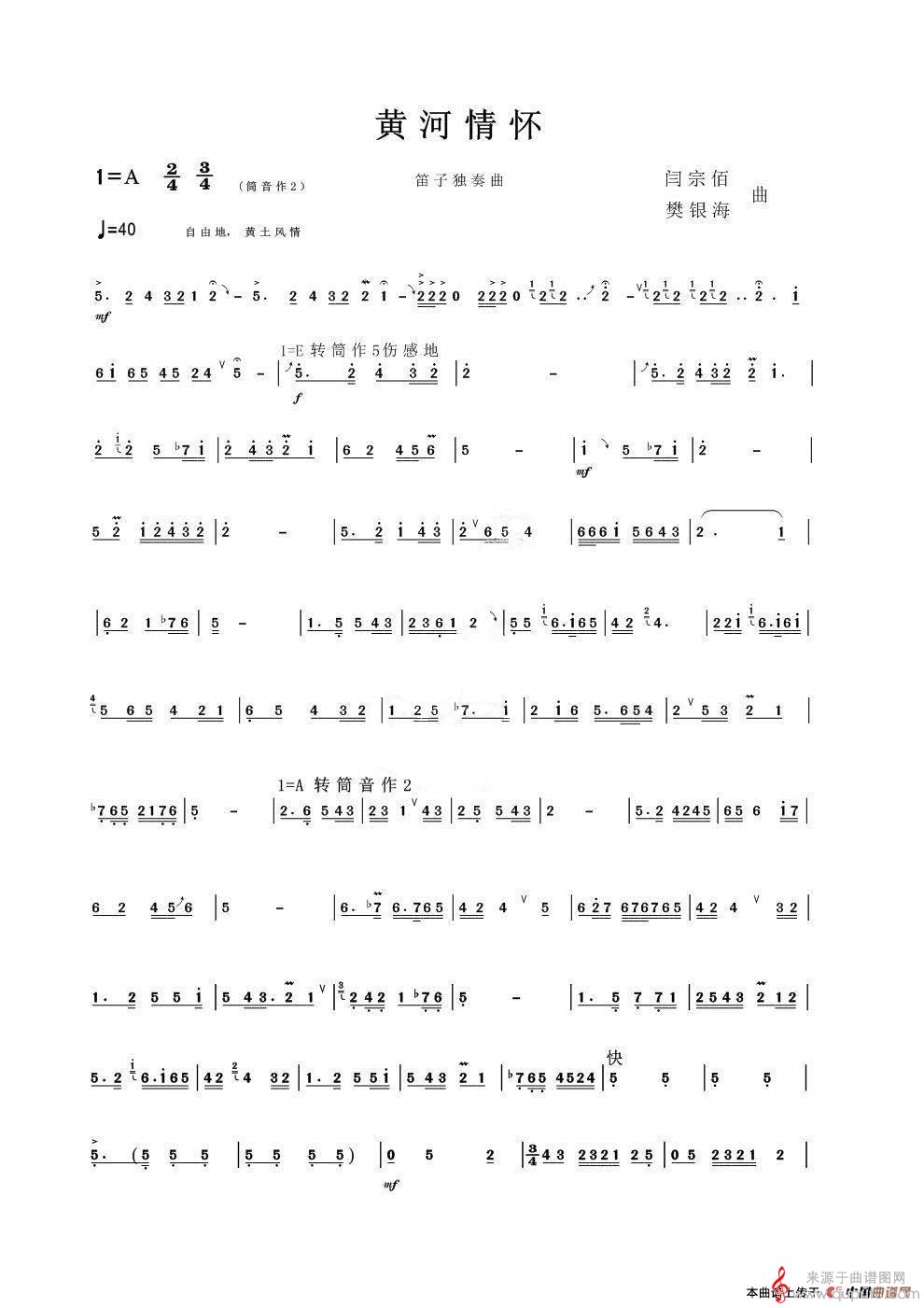
黄河情怀简谱(黄河情怀笛子独奏曲曲谱)
黄河情怀简谱(黄河情怀笛子独奏曲曲谱)
作曲:
闫宗佰、樊银海
来源:
网络
上传:
曲谱图
日期:
2022-07-17 21:40:22
浏览次数:
(请按F11全屏观看)
提示:
在曲谱图片上单击右键,选择“图片另存为...”即可将曲谱保存到您的电脑中,打印时候可将图片插入到WORD中,调整合适大小打印即可。
曲谱图网为您提供黄河情怀简谱(黄河情怀笛子独奏曲曲谱)找谱子,就上曲谱图网。
点击查看剩余 1 张曲谱
发表评论
"曲谱图"温馨提醒:
1、请勿发表违反国家法律评论,评论请文明用语;
2、禁止发布广告评论。
昵称:
验证码:
QQ表情
可爱表情
兔斯基
已有
0
位网友发表了看法
查看所有评论
相关曲谱
[
笛箫
]
猜调
[
葫芦丝
]
哦!苏姗娜
[
笛箫
]
舞会圆舞曲
[
口琴
]
斯卡堡集市
[
笛箫
]
春忙
[
铜管
]
浪漫曲
[
笛箫
]
[
口琴
]
那坡里之夜
[
胡琴
]
追思
[
笛箫
]
云之恋
[
胡琴
]
京胡曲:杨家将
[
笛箫
]
练习曲一 静夜思
[
口琴
]
一支难忘的歌
[
胡琴
]
凤阳歌
[
胡琴
]
二胡指法练习:月圆曲
[
笛箫
]
快乐老家
[
口琴
]
喷泉里三枚硬币
[
笛箫
]
玉箫声和
[
古筝古琴
]
斯卡保罗集市
[
胡琴
]
二胡技巧练习曲:跳弓练习
网站首页
|
手机版
|
关于本站
|
广告合作
|
免责声明
|
网站地图
|
谱友留言
|
联系我们
Copyright © 2018-2023 quputu.com.
曲谱图
版权所有
版权声明:所有曲谱及资料均为作者提供或网友推荐收集整理而来,仅供爱好者学习和研究使用,版权归原作者所有。
如本站内容有侵犯您的合法权益,请和我们取得联系,我们将立即改正或删除。
找谱子,就上曲谱图网
渝ICP备18014372号-2